In de (online) marketingwereld zijn we dol op acroniemen, denk aan woorden als PPC, USP, CPA, CPC, CRO, CTA, ROI.
Weet je wat ze allemaal betekenen?
(hint Pay-Per-Click, Unique Selling Point, Cost-per-Action, Cost-per-Click, Conversion Rate Optimisation, Call-To-Action, Return-On-Investment).
In dit artikel gaan we het hebben over het krijgen van nieuwe klanten en de waarde die zij voor je organisatie opleveren gedurende de tijd dat zij je klanten zijn.
Nieuwe klanten krijgen kost tenslotte veel tijd en geld dan je bestaande klanten tevreden houden.
Je moet de tijd nemen om ze jou en je product of dienst te laten leren kennen. Zodanig leren kennen dat ze verliefd op je worden en je product of dienst gaan kopen.
In elke zakelijke niche zijn er altijd concurrenten te vinden, stijgen de advertentiekosten, kost het implementeren van een goede content marketing strategie voor SEO-succes op de lange termijn, tijd en geld en zelfs specifieke acquisitiecampagnes die je bent gestart leveren misschien niet snel genoeg klanten op.
Dus hoe kun je de kans vergroten dat je bedrijf genoeg geld heeft, genoeg ruimte in de financiële planning om te blijven bestaan?
En hoe kun je ervoor zorgen dat je net niet iets te veel spendeert om nieuwe klanten te winnen? Bijvoorbeeld bij een Google Ads campagne, waar de cost-per-click veel te hoog ligt voor het aantal conversies.
Table of Contents
- Wat is Customer Lifetime Value
- Waarom is Customer Lifetime Value zo belangrijk?
- #1 Het kan een benchmark zijn voor de waarde van je bedrijf
- #2 Het helpt je prioriteiten te verleggen
- Welke variabelen heb je nodig om je Customer Lifetime Value te berekenen?
- Gemiddelde maandelijkse inkomsten per klant
- Brutomarge per klant
- Maandelijks opzeggingspercentage
- Het resultaat segmenteren
- Hoe kun je je Customer Lifetime Value verbeteren?
- Concrete stappen om je Customer Lifetime Value te verbeteren
Dat doe je door de Customer Lifetime Value (CLV) of levenslange klantwaarde te verhogen van de klanten die je al hebt.
Wanneer je kijkt naar de waarde die een klant voor jouw organisatie heeft, is het verleidelijk om alleen naar het hier-en-nu te kijken. Iemand die op een van je advertenties klikt, koopt je product of dienst, en er is een specifieke ROI die je als resultaat kunt berekenen.
Als iemand converteert, heb je je doel bereikt en staat er geld op de bank.
Maar dat is alleen een eenmalig bedrag dat binnenkomt. Hoe zit het met de levenslange waarde van die klant? Wat zou die klant waard kunnen zijn over een langere duur van de relatie die zij of hij met je merk heeft?
Wanneer je je Customer Lifetime Value (CLV) begint te begrijpen, zul je het bewijs beginnen te zien dat het inderdaad veel gemakkelijker en goedkoper is om aan een bestaande klant te verkopen dan om een nieuwe te krijgen.
Je bedrijf laten groeien kan zo eenvoudig zijn als je je concentreert op het creëren van klanten met de hoogste loyaliteit en de hoogste lifetime value.
Waarom?
Omdat je alle eerste stappen in de Customer Journey kunt overslaan.
In plaats van dat je bewustwordingsadvertenties moet draaien, lead magnets moet gebruiken, personeel moet inhuren om verkoopgesprekken te voeren, kun je gewoon de mensen die je al hebt, nuttiger gebruiken.
Dus in deze post duiken we in op CLV, wat het is, hoe je jouw kunt berekenen, en hoe je de relatie met je meest winstgevende klanten kunt verbeteren, zodat je je op hen kunt richten en je bedrijf kunt laten groeien.
Wat is Customer Lifetime Value
Customer Lifetime Value (ook bekend als CLTV of LCV of LTV) is een maatstaf die door de meeste bedrijven vaak verkeerd wordt begrepen en, erger nog, volledig over het hoofd wordt gezien.
In marketing is Customer Lifetime Value de waarde van een bepaalde klant en de bijdrage die hij of zij levert aan je bedrijf. Met andere woorden, Customer Lifetime Value is hoeveel een enkele klant bij je besteedt voordat hij vertrekt en nooit meer terugkomt. En als gevolg daarvan wordt het meestal gedefinieerd als een waarde (in euro’s) van de nettowinst die je van hem of haar kunt verwachten.
Bij CLV gaat het niet alleen om de volgende conversie, e-mailaanmelding of social share. Het dwingt je om de relatie met je publiek te zien als een langetermijnstrategie.
Wanneer je je richt op CLV, ben je gericht op het opbouwen van een loyaal publiek en het voorzien in hun behoeften.
Als je dit getal kent, krijg je een heel andere kijk op hoeveel je bereid moet zijn te investeren als acquisitiekosten (CAC of Customer Aquisition Cost) om een nieuwe klant binnen te halen.

Laten we bijvoorbeeld zeggen dat de CLV van een klant €80K is. Als je ongeveer €15K per jaar moet uitgeven om deze klant te bedienen en het krijgen van zo’n klant kost je €20K, hoe lang wil je deze klant dan houden? Natuurlijk wil je ze niet langer dan vier jaar houden, anders draai je quitte, en begin je geld te verliezen.
Zoals je kunt zien kan het, zodra je deze cijfers voor je bedrijf begint te begrijpen, je onderneming helpen veel winstgevender te zijn en kan het je marketing- en verkoopteams helpen te bepalen op welke klanten zij zich moeten richten.
Waarom is Customer Lifetime Value zo belangrijk?
Customer Lifetime Value is cruciaal, daar ben je inmiddels wel achter. Maar laten we eens kijken naar een paar verschillende redenen waarom het zo belangrijk is.
#1 Het kan een benchmark zijn voor de waarde van je bedrijf
De eerste reden is er een die naar de toekomst kijkt. Als je weet hoeveel klanten je hebt en hoeveel ze (gemiddeld) voor jou als eigenaar uitgeven, kun je snel achterhalen hoeveel je bedrijf waard is. Weten hoeveel je bedrijf waard is, is een belangrijke maatstaf om te gebruiken wanneer je met investeerders of een bank praat wanneer je op zoek bent naar wat extra geld om je bedrijf te laten groeien en uit te breiden.
Of zelfs wanneer er op een gegeven moment gesprekken zijn over iemand die je bedrijf wilt kopen. Weten hoeveel je waard bent is een belangrijke maatstaf in deze onderhandelingen.
#2 Het helpt je prioriteiten te verleggen
Omdat CLV je het belang van herhaal business laat zien, kan het je helpen je prioriteiten recht te zetten. CLV help je je te concentreren op de groei van je bestaande klantenbestand en meer aan hen te verkopen.
Het is een beetje in lijn met het “1000 echte fans” concept bedacht door Kevin Kelly in 2008. Zijn model richt zich op het verkrijgen van 1000 fans voor je bedrijf en het genereren van veel verkoop via deze trouwe klanten.
Waarom is dit belangrijk?
Zoals je al eerder zag, zijn niet alle klanten gelijk. En nieuwe klanten krijgen is vijf keer zo duur als een bestaande klant houden.
Bovendien hebben bedrijven 60 tot 70% kans op verkoop aan een bestaande klant, terwijl de kans op verkoop aan een nieuwe prospect slechts 5% tot 20% bedraagt.
Deze twee redenen tonen aan waarom iedereen in de verkoop- en marketingafdeling, maar meer nog elke ondernemer en bedrijfseigenaar deze maatstaf zou moeten gebruiken als een kritisch onderdeel van hun hele bedrijfsstrategie.
Als je je CLV kent, kun je drie fundamentele vragen beantwoorden:
- Betaal je genoeg om klanten te krijgen via elk van je gebruikte marketingkanalen?
- Trek je de beste soort klanten aan?
- Hoeveel kun je uitgeven om ze zoet te houden met e-mail, sociale media of andere manieren om je klanten tevreden te houden?
Het beantwoorden van deze vragen zal je helpen je bedrijf te focussen en te laten groeien.
Welke variabelen heb je nodig om je Customer Lifetime Value te berekenen?
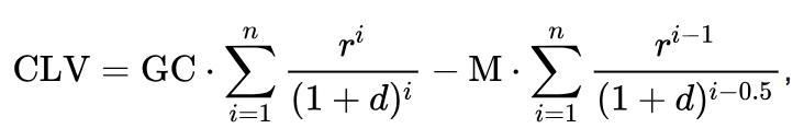
Nu je je volledig bewust bent van het belang van CLV, laten we nu uitzoeken wat je Customer Lifetime Value is. De beste manier om CLV te berekenen volgens Wikipedia kan er een beetje ingewikkeld uitzien:

Waarbij rekening wordt gehouden met churn rate, discontopercentage, contributiemarge, retentiekosten en de periode waarover de klantrelatie wordt berekend voor analyse (de meest gebruikte periode is een jaar).
We kunnen echter begrijpen dat dit er een beetje te ingewikkeld uitziet, dus laten we eens kijken naar een simpelere manier om CLV te berekenen.
(Gemiddelde maandelijkse omzet per klant * brutomarge per klant) ÷ maandelijks opzeggingspercentage
Dus de eerste delen tonen je de gemiddelde maandelijkse winst per klant (de inkomsten maal de brutomarge), en je deelt dat door de churn rate (of de kans dat de klant er in de komende maanden nog zal zijn).
Bijvoorbeeld: €200 gemiddeld aan maandelijkse uitgaven * 30% marge ÷ 6% maandelijkse churn = €1000 LTV
Laten we eens kijken naar de afzonderlijke componenten waaruit de formule bestaat:
Gemiddelde maandelijkse inkomsten per klant
De gemiddelde maandelijkse inkomsten zijn eenvoudig. Door te kijken naar je database voor een langere periode (laten we zeggen twee jaar) kun je zien hoeveel elke klant gemiddeld elke maand uitgeeft in je winkel, restaurant, of onderneming. Laten we zeggen dat ze zeven keer per jaar bij je kopen voor een totaal van €60. Dan is de gemiddelde maandelijkse omzet per klant €35 (7 * €60 ÷ 12).
Brutomarge per klant
Hoeveel marge creëer je op elke verkoop die je doet? Laten we zeggen dat je je product koopt voor €45, maar je verkoopt het voor €60, dan is je bruto marge per klant 33%.
Maandelijks opzeggingspercentage
Het laatste deel van de vergelijking is het maandelijkse opzeggingspercentage. En het is waarschijnlijk een van de moeilijkste dingen om nauwkeurig te meten. Deze toont het percentage mensen dat maandelijks besluit de relatie met je bedrijf te beëindigen. Met andere woorden, iemand blijft terugkomen naar je bedrijf, koopt van je en op een gegeven moment worden ze minder actief, gaan minder van je kopen en op den duur komen ze zelfs nooit meer terug.
Dit deel hangt echter af van de niche waarin je e-commercebedrijf opereert. Starbucks meldt bijvoorbeeld dat hun gemiddelde klantenlevensduur 20 jaar is.
Het gebruik van de gemiddelde levensduur van je klanten helpt je te berekenen hoeveel van hen elke maand weggaan en nooit meer terugkeren.
Het resultaat segmenteren
Het probleem dat je hebt als je kijkt naar de gemiddelde CLV van je bedrijf, is dat ze allerlei interessante dingen niet direct laten zien als je snel naar de cijfers kijkt.
Dus, nu je je CLV kent voor al je klanten, is het de moeite waard om te gaan inzoomen op het grotere geheel.
Misschien kun je proberen je klantenbestand over een langere periode te segmenteren, zoals Avinash voorstelt. Laten we eens kijken naar een periode van misschien twee jaar of het totale bedrag van de uitgaven om daar interessante patronen te zien.
Je zou dingen kunnen zien zoals het feit dat je waardevolste klanten vorig jaar vijf keer zo veel kochten dan het gemiddelde. Per bestelling werd 45% meer uitgegeven dan gemiddeld. Dat zijn de verborgen juweeltjes die die laatste 20% van je klantenbestand vormen.
En waar komen die waardevolste klanten vandaan?
Door te kijken waar je je onrendabele, rendabele en zeer rendabele klanten vandaan hebt gehaald, kun je nagaan op welke marketingkanalen je moet gaan inzetten. Een eenvoudige segmentatie per kanaal kan je ook helpen deze antwoorden te vinden.
Zoals je ziet, is er altijd meer informatie te ontdekken als je maar de tijd neemt om naar je gegevens te kijken.
Hoe kun je je Customer Lifetime Value verbeteren?
De volgende stap is het gebruik van de informatie die je nu hebt. De Customer Lifetime Value van je klanten, van welke kanalen ze komen, hoe ze met je merk omgaan, enz. om hen nog meer tevreden te maken en dus je CLV te verbeteren.
Wat is de volgende stap?
Laten we eens kijken naar vier belangrijke stappen om je CLV te maximaliseren:
- De eerste is het samenbrengen van al je klantinteracties in één database. Door al je interacties met je klanten te centraliseren, krijg je nog meer inzicht in het hoe en waarom specifieke klanten bepaalde dingen doen. Als je maar één ding kunt doen om je leerproces te verbeteren, dan is het deze stap;
- Het tweede zou zijn om een model te maken van de hele levenscyclus van de klant, het klanttraject. Vanaf het moment dat ze voor het eerst van je horen, tot het moment dat ze afhaken. Dit klinkt ingewikkeld, maar het zou niet zo moeilijk moeten zijn als je de eerste stap hebt gedaan. Als je het meeste uit deze stap wilt halen, moet je al het cross-channelgedragingen koppelen aan de gegevens over de aankoopgeschiedenis;
- De derde stap is dat je de gegevens en informatie uit de vorige stappen bekijkt en begint te begrijpen waar je klanten zich in hun levenscyclus met je bevinden. Hoe ze met je merk omgaan en dan die informatie gebruiken om met hen in contact te komen waar en wanneer dat de effectiefste contactpunten oplevert;
- De laatste stap is het identificeren van de belangrijkste drijfveren die levenslange waarde opleveren. Veel kleine bedrijven en marketeers worstelen nog steeds met de Return-On-Investment (ROI) van een campagne die geen directe respons oplevert.
Maar als je alle informatie over je klanten centraal in één database hebt, kun je de inkomsten uit investeringen in sociale media, in e-mailmarketing, in banners enz. gaan toerekenen. Je kunt de verschillende segmenten identificeren die de belangrijkste drijfveren zijn voor lifetime value, om je klanten in die laatste 20% van zeer winstgevende klanten te brengen, en natuurlijk dubbel inzetten op die specifieke drijfveren.
Concrete stappen om je Customer Lifetime Value te verbeteren
Zodra je van je bedrijf een voortdurend lerende organisatie hebt gemaakt en je deze strategieën hebt ingevoerd om de Customer Lifetime Value van je bedrijf te verhogen, is het tijd om de tactiek te bepalen om deze strategieën uit te voeren.
Hoe ga je de strategieën die je eerder hebt bedacht omzetten in uitvoerbare acties voor je onderneming?
Als je wilt beginnen met het verhogen van je CLV, zijn er veel verschillende opties beschikbaar. Al deze opties beginnen echter met het verbeteren van de klantervaring, het zorgen voor je klanten, ervoor zorgen dat zij je trouw blijven.
Om je op weg te helpen, hebben we vijf verschillende manieren opgesomd waarmee je voor jouw bedrijf kunt beginnen.
#1 Communicatie
Waarschijnlijk de belangrijkste van allemaal. Als je de omzet bij je klanten wilt verhogen en een hogere CLV wilt opbouwen, moet je continu contact blijven houden met je klanten, laten weten dat je er nog voor ze bent. En de beste manier om dat te doen is door regelmatig te communiceren.
Als je een relatie met iemand wilt opbouwen, als je een krachtig merk wilt creëren met een uitstekende brand loyalty en brand advocates, zul je met je klanten moeten communiceren. Door consequent je merkbelofte na te komen, door te voldoen aan de verwachtingen die je aan je klanten stelt en door met hen te communiceren, bouw je namelijk dit merkvertrouwen op.
Communiceren met je klanten kan op veel verschillende manieren, het kan via e-mailmarketing, chatbots, voice, maar welk kanaal je ook kiest, maak het één-op-één. Stuur unieke campagnes voor hun verjaardagen, of jubilea als klant met speciale kortingen.

Andere manieren om met je klanten te communiceren is door hun succesverhalen te laten zien op je social mediakanalen, doe een user-generated content wedstrijd en laat de beste cases zien. Dit kan werken als (gratis) reclame voor hen, en het helpt de relatie met je klanten op te bouwen.
Een ander heet hangijzer rond communicatie is natuurlijk de klantenservice. Een goede klantenservice doet wonderen voor je CLV. Zorg ervoor dat er voldoende mogelijkheden zijn om contact met je op te nemen in geval van een vraag over de klantenservice. Nogmaals, e-mail, chat, voice (telefoon), social.
Als er een probleem is, willen mensen het zo snel mogelijk opgelost zien en niet gaan zoeken naar de juiste manier om contact met je op te nemen, dus wees er klaar voor en wees altijd beschikbaar. In een 24/7 verbonden wereld is het afsluiten van je klantenservice “na kantooruren” niet de manier om je klanten tevreden te houden.
#2 Personalisatie
Wanneer je zoveel gegevens over je klanten begint te verzamelen, beginnen ze het vanzelfsprekend te vinden dat je iets met deze informatie doet.
Met toegang tot al die gegevens wordt personalisatie zoveel meer dan het sturen van een e-mail met “Hey [Voornaam]”. Je klanten verwachten gepersonaliseerde productaanbiedingen, gepersonaliseerde promoties en al het andere dat op hun persoon of hun klantensegment kan worden afgestemd.
Door dynamische content op je website en in je marketingberichten te gebruiken, krijgen ze altijd de voor hen meest relevante aanbiedingen te zien. Je kunt bijvoorbeeld een volledig gepersonaliseerde homepage maken met producten die voor hen interessant kunnen zijn. Maar ook gerelateerde producten tonen zodra ze een artikel bekijken of een specifiek artikel in hun online winkelkarretje plaatsen.
Stuur individuele e-mails met kortingen of producten die interessant kunnen zijn (Amazon doet fantastisch werk met hun Kindle-boekensectie en stuurt ons elke dag e-mails met mogelijk relevante boeken).
Vergeet niet om het je klanten ook uiterst gemakkelijk te maken om herhaalaankopen bij je bedrijf te doen. Door gebruikersnaam en wachtwoord gemakkelijk op te vragen, of door klantgegevens zoals verzend- en betaalgegevens op te slaan zodat ze de volgende keer niet alles opnieuw hoeven in te typen.
Hoe eenvoudiger je het aankoopproces maakt, hoe meer het de verkoop zal verhogen.
Al dit soort dingen zijn geweldige manieren om de verkoop bij elke bestelling te verhogen en om te beginnen meer bestellingen binnen te krijgen.
#3 Exclusieve aanbiedingen en programma’s
Als je personalisatie nog een stap verder wilt (en kunt) nemen, kun je klanten gaan herkennen en belonen door exclusieve aanbiedingen en opties voor hen beschikbaar te stellen. Vooral voor je trouwste klanten.
Frequent flyer miles zijn hier een mooi voorbeeld van, maar elk ander frequent shopper programma voldoet ook.
Wat voor soort loyaliteitsprikkels kun je in jouw organisatie invoeren om je klanten zich specialer te laten voelen?
#4 De duivel zit in de details
Mensen houden ervan verrast te worden, Zappos heeft zijn fortuin gemaakt rond verrassing en mensen blij te maken. Ook al hebben mensen op een bepaalde datum en tijd iets bij je gekocht en blijven ze bij je terugkomen, je mag nooit de kantjes eraf lopen, probeer altijd net dat stapje extra te zetten.
Terug naar Zappos, vaak bieden ze gratis levering de volgende dag. Wanneer je de items inpakt voor je klanten, gooi de items niet zomaar in de doos. Misschien een klein briefje erbij met een persoonlijke attentie, zorg ervoor dat de presentatie die de klanten zien als ze de doos openen er een is die helemaal in lijn is met je merkreputatie en merkbelofte.
De online retailer Coolblue gaat zelfs zo ver dat het van zijn dozen iets speciaals maakt: ze zetten er instructies op om thuis huisjes voor je dier te maken en hebben een speciale website waarop allerlei creaties worden getoond die mensen met hun dozen maken.

Wat doe jij om die glimlach op de gezichten van je klanten te toveren wanneer de bezorger je pakket aflevert?
#5 Het opnieuw betrekken van slapende klanten
We begonnen met praten over communiceren. Maar wat doe je om klanten die al een tijdje geen communicatie meer hebben geopend opnieuw te betrekken? Of die misschien ook al een tijdje geen aankoop hebben gedaan?
Als je ze niet opnieuw probeert te benaderen, zullen ze nooit hoger in de cyclus komen en (vaker) terugkerende klanten worden. Misschien kun je proberen hen opnieuw te binden met e-mailmarketing, door hen een coupon of iets anders dat speciaal voor hen is aan te bieden om terug te komen en opnieuw te gaan kopen. Of misschien gebruik je ouderwetse direct marketing, stuur je een ansichtkaart naar hun huis, met daarop alle dingen die zij missen (ervan uitgaande dat je hun huisadres hebt opgeslagen) en nodig je hen uit terug te komen. Je kunt niet creatief genoeg zijn met dit soort dingen. Wat dacht je van een kaartje van op je vakantie, waarin je vertelt hoeveel je ze mist en dat je niet kunt wachten om ze weer te zien als je thuiskomt?
Vergeet niet dat re-engagement ook bedoeld is voor klanten die hun winkelmandje hebben verlaten. Retargeting advertenties gebruiken voor mensen die een specifieke klantreis zijn begonnen, of een bepaalde pagina op je website hebben bezocht, maar niet hebben gekocht of geconverteerd?
Deze laatste twee zijn geweldig voor het verhogen van de verkoop van nieuwe en eerdere klanten. Herinner hen eraan wat ze missen als ze niet bij je kopen.
Dus daar heb je het, de belangrijkste maatstaf om te weten voor je onderneming. Nieuwe klanten krijgen (vooral voor een nieuw merk) is steeds moeilijker en duurder geworden. Overal waar je kijkt vechten potentiële concurrenten om dezelfde aandacht van je doelgroep.
Sommige tactieken zoals SEO, Content Marketing en PPC zijn duur en garanderen niet altijd direct resultaat.
Maar je hebt nog steeds klanten nodig om je bedrijf te laten groeien.
Alle bovengenoemde tactieken zullen je helpen de Customer Lifetime Value te maximaliseren en de groei van je bedrijf op lange termijn veilig te stellen.
In plaats van e te richten op het verkrijgen van honderdduizenden nieuwe klanten, moet je je gaan richten op het creëren van klanten met een hogere levenslange waarde.
Wanneer je aandacht begint te besteden aan de verschillende elementen waaruit de CLV bestaat, en begint met het implementeren van segmenten om een nog beter beeld te krijgen, zou je je marketingstrategie moeten kunnen aanpassen, zodat deze is afgestemd op wat je klanten het beste zal dienen.
Alleen dan zullen klanten steeds weer blijven terugkomen.
Niet alle klanten zijn gelijk. Zorg ervoor dat je diegenen bereikt en betrekt die je bedrijf verder zullen brengen met succes op lange termijn.
Welke succesvolle strategieën heb jij gebruikt om je Customer Lifetime Value te verhogen? Laat hieronder een reactie achter zodat we er allemaal van kunnen leren en onze bedrijven kunnen laten groeien!

